Гіпохлорит натрію. Дезінфекція води в басейні

Гіпохлорит натрію - рідина жовтого кольору, має характерний різкий запах хлору і високі корозійні властивості. Вміст активного хлору - 15 %. Густина 1,27 г/см3. Тривіальна (історична) назва водного розчину солі — «лабаракова вода». Має антисептичні та дезінфікуючі властивості. Використовується як побутовий та промисловий відбілювач і дезінфектант, засіб очищення і знезараження води, окисник для деяких процесів промислового хімічного виробництва. Як бактерицидний і стерилізуючий засіб застосовується в медицині, харчовій промисловості та сільському господарстві. Гіпохлорит натрію зареєстрований у Державному реєстрі дезінфекційних засобів МОЗ України.
Кількість хлору, що виділяється при взаємодії з кислотою («активний хлор»), є умовною характеристикою окисної здатності гіпохлориту натрію. Дезінфекційна дія гіпохлориту натрію NaOCl заснована на тому, що при розчиненні у воді він так само, як і газоподібний хлор, утворює хлорноватисту кислоту та гіпохлорит-іони, які мають окиснювальну і дезінфекційну дію. Зберігаючи всі переваги процесу хлорування, метод знезараження за допомогою розчинів гіпохлориту натрію дає змогу уникнути основних труднощів, пов'язаних з роботою з високотоксичним рідким хлором.
Сфери застосування
Хімічна промисловість
- сильний окисник органічних сполук, металів та їх комплексів; синтез різноманітних сполук
- індофенольна проба - фенол розчиняють у розчині амоніаку концентрованого і додають розчин натрію гіпохлориту концентрованого – з’являється блакитне забарвлення
Текстильна і целюлозно-паперова промисловість
- відбілювання й видалення плям з білих бавовняних і лляних тканин
- відбілювання паперу та інших целюлозних матеріалів
Дезінфекція
- дезінфекція та дегазація води - має бактерицидну, антивірусну, протигрибкову, дезодоруючу та детоксикуючу дію
- для миття та знезараження посуду, облицювальної плитки, сантехніки, обладнання тощо
- дезінфекція акваріумів та бджолиних вуликів і стільників

Дезінфекція води у басейні
Обробку води краще проводити ввечері. Оптимальне значення рН води у басейні - 7,2-7,4.
Дозування для шокової дезінфекції: 30 мл натрію гіпохлориту на 1 м3 води.
Потрібно обережно розвести розчин гіпохлориту у посудині з чистою водою і рівномірно розлити по всьому периметру басейну. Після цього треба провести фільтрацію (6-8 год.). Забороняється відвідувати басейн 12 годин після процедури.
Дозування для регулярної дезінфекції: 3-8 мл натрію гіпохлориту на 1 м3 води.
Обробку можна проводити 1 раз на 3 дні, з наступним запуском системи фільтрації.
Забороняється відвідувати басейн 12 годин після процедури. Купання можна починати при рівні вмісту вільного хлору нижче 0,6 мг/л.
Дезінфекція приміщень
Рекомендуємо для дезінфекції поверхонь та обладнання, після попереднього їх очищення нейтральним мийним засобом, використовувати розчин з 0,1% гіпохлориту натрію - 1 мл гіпохлориту на 1 л води.
Для дезінфекційної обробки підлоги готують розчини з розрахунку 30-60 мл гіпохлориту натрію на 1 л води. Після закінчення дезінфекції приміщення обов'язково провітрюють.Знезараження верхніх шарів ґрунту, асфальту та інших об'єктів на відкритому повітрі можна виконувати розчинами проготованими розбавленням гіпохлориту натрію у 10 разів, тобто 100 мл на 1 л води.

У практиці водопостачання застосовуються такі основні технологічні операції для поліпшення якості води:
- освітлення – процес видалення зважених речовин;
- знебарвлення – усунення речовин, що додають воді колір;
- знезараження – процес знищення патогенних та умовно-патогенних мікроорганізмів шляхом впливу на них фізичних (ультрафіолетове опромінювання, ультразвук тощо), хімічних (хлор, гіпохлорит, озон, діоксид хлору, оксидантний газ тощо) та фізико-хімічних факторів;
- опріснення – часткове видалення розчинених солей до норм;
- пом'якшення – видалення солей кальцію і магнію, які обумовлюють жорсткість води;
- знезалізнення – процес видалення з води розчинних сполук заліза;
- видалення фтору – видалення сполук фтору;
- фторування – додавання в воду фтору;
- дегазація – видалення з води розчинних газів (H2S, CO2, O2);
- дезактивація – видалення з води радіоактивних речовин.
Необхідна доза речовини встановлюється пробним хлоруванням води, вона визначається хлорпоглинальною здатністю води – кількістю хлору, що необхідна для зв'язування органічних сполук, які містяться у воді. З метою знищення мікробів хлор вводять з надлишком з такого розрахунку, щоб через 30 хв. після хлорування води вміст залишкового хлору був не менш як 0,3 мг/л.
Окрім безпосередньо хлорування води з метою знезараження, ще такі способи обробки води хлором, як:
- прехлорування;
- постхлорування;
- подвійне хлорування (прехлорування+постхлорування);
- подвійне хлорування;
- суперхлорування та ін.
Мета прехлорування – попередня обробка води перед очисними спорудами для поліпшення або полегшення подальшої її очистки. Вільний активний хлор у більшості випадків забезпечує значне поліпшення якості води за рахунок активного окислення органічних речовин.
Постхлорування використовується для знезараження води, що є завершальним етапом очищення води. Постхлорування проводиться невеликими дозами, що забезпечують наявність залишкового хлору після резервуарів чистої води.
Надлишок хлору, неприпустимий з гігієнічних міркувань, перед подачею води населенню має бути видалений. У деяких випадках проводиться подвійне хлорування води – до фільтрації і після чистки води. Також при епідеміологічних катастрофах проводиться суперхлорування з подальшим дехлоруванням води. Для дехлорування питної води використовують сірчистий газ SO2 і сульфіт натрію NaS2O3, а також гранульоване активоване вугілля і аміак NН3.
Широкому поширенню хлору в технологіях водопідготовки сприяла його ефективність при знезараженні природних вод і здатність консервувати вже очищену воду тривалий час. Крім того, попереднє хлорування води дозволяє знизити кольоровість води, усунути її запах і присмак, зменшити витрату коагулянтів, а також підтримувати задовільний санітарний стан очисних споруд станцій водопідготовки. Ефективність, доступність і помірна вартість, а так само значний досвід роботи з цим реагентом забезпечили хлору виняткову роль – більше 90% водопровідних станцій в світі знезаражують і знебарвлюють воду хлором, витрачаючи до 2 млн. т цього рідкого реагенту на рік.
Але хлор як реагент водопідготовки має істотні недоліки:
- Хлор і з'єднання, які містять хлор, мають високу токсичність, що вимагає суворого дотримання підвищених вимог техніки безпеки.
- Хлор впливає, в основному, на вегетативні форми мікроорганізмів, при цьому грам-позитивні штами бактерій більш стійкі до впливу хлору, ніж грамнегативні штами мікроорганізмів.
- Віруси, спори і цисти найпростіших і яйця гельмінтів також мають високу резистентність до дії хлору.
- Скиди хлору і його сполук у навколишнє середовище зумовлюють високу екологічну небезпеку, адже хлор робить певний внесок у стійкість патогенної водної мікробіоти.
- Хлор має високу корозійну активність.
- Хлор вступає у хімічні реакції з усіма органічними і неорганічними речовинами, що знаходяться у воді.

Методи визначення вмісту залишкового активного хлору у питній воді
З рівнем надлишкового, або так званого залишкового, хлору в воді пов'язують у даний час уявлення про надійність знезаражування. Оскільки хлорування води проводять хлором, що знаходиться у воді у вільній або зв'язаній формі, його залишкові кількості присутні у воді у вигляді вільного або зв'язаного хлору. Через відмінності у бактерицидній активності цих форм хлору різняться і нормативи їх вмісту в питній воді (для вільного хлору – 0,3-0,5 мг/л, для зв'язаного хлору – 0,8-1,2 мг/л). Усі з'єднання активного хлору мають дуже сильну бактерицидну дію, але якщо їх концентрація більше за нормативну, то вони викликають роздратування шкіри, слизових оболонок, дихальних шляхів. Відомо також, що під час хлорування води утворюється НСlO (хлорнуватиста кислота), яка взаємодіє з залізом, утворюючи розчинні солі, що підвищує корозійну активність такої води.
Відбір проб
Об’єм проби води для визначення вмісту активного хлору не повинен бути менше 500 мл. Проби води не консервують. Визначення слід проводити відразу після відбору проби.
Йодометричний метод визначення сумарного залишкового хлору
Сутність методу
Метод заснований на окисленні йодиду активним хлором до йоду, який титрують тіосульфатом натрію. Озон, нітрити, окис заліза та інші сполуки в кислому розчині виділяють йод з йодистого калію, тому проби води підкисляють буферним розчином з рН 4,5. Йодометричний метод призначений для аналізу води з вмістом активного хлору більше 0,3 мг/л при об’ємі проби 250 мл. Метод може бути рекомендований також для забарвлених і каламутних вод.
Підготовка до аналізу:
- Приготування 0,5%-го розчину крохмалю: 0,5 г розчинного крохмалю змішують з невеликим обсягом дистильованої води, доливають до 100 мл киплячої дистильованої води і кип'ятять кілька хвилин. Після охолодження консервують, додаючи хлороформ або 0,1 г саліцилової кислоти.
- Приготування буферного розчину рН 4,5: 102 мл 1 М оцтової кислоти (60 г крижаної оцтової кислоти в 1 л води) і 98 мл 1 М розчину оцтовокислого натрію (136,1 г оцтовокислого натрію CH3COONa·3Н2О в 1 л води) наливають в мірну колбу місткістю 1 л і доводять до мітки дистильованою водою (попередньо прокип'яченою і охолодженою до 20°С, вільною від двоокису вуглецю).
Проведення аналізу
У конічну колбу насипають 0,5 г йодистого калію, розчиняють його в 1-2 мл дистильованої води, потім додають буферний розчин у кількості, приблизно рівній полуторній величині лужності аналізованої води, після чого додають 250-500 мл аналізованої води. Йод, що виділився, титрують 0,005 н розчином тіосульфату натрію з мікробюретки до появи світло-жовтого забарвлення, після чого додають 1 мл 0,5%-го розчину крохмалю і розчин титрують до зникнення синього забарвлення. При визначенні лужності воду попередньо дехлорують за допомогою тіосульфату натрію в окремій пробі. При концентрації активного хлору менше 0,3 мг відбирають для титрування більші обсяги води.
Обробка результатів
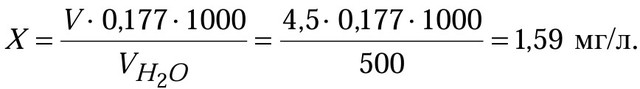
Вміст сумарного залишкового хлору (X), мг/л обчислюють за формулою:
![]()
де V – об'єм 0,005 н розчину тіосульфату натрію, витрачений на титрування, мл; 0,177 – вміст активного хлору, що відповідає 1 мл 0,005 н розчину тіосульфату натрію; VH2O – об'єм проби води, взятий для аналізу, мл.
Приклад розрахунку
Завдання:
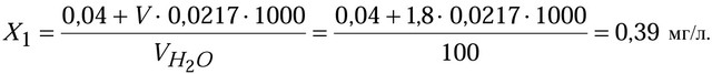
- Визначити вміст сумарного залишкового хлору, вільного залишкового хлору і зв'язаного хлору в питній воді, якщо при визначенні йодометричним методом на титрування проби води було витрачено 4,5 мл розчину тіосульфату натрію, а при визначенні титруванням метиловим оранжевим відповідно 1,8 мл його розчину.
- Визначити, чи відповідає досліджувана вода санітарним нормам. Згідно ДСТУ 7525:2014. «Вода питна» ГДК залишкового вільного хлору становить 0,5 мг/л, для залишкового зв'язаного –1,2 мг/л.
1. Визначаємо вміст сумарного залишкового хлору у воді (Х) за формулою:

2. Визначаємо вміст вільного хлору у воді (Х1) за формулою:
![]()
3. Визначаємо вміст зв'язаного (хлорамінового) хлору (X2) у воді за формулою: Х2 = Х - Х1 = 1,59 – 0,39 = 1,2 мг/л.
Висновки: аналізована питна вода повністю відповідає ДСТУ 7525:2014. Вода питна» (ГДК для вільного хлору 0,5 мг/л, для зв'язаного –1,2 мг/л).

Застосування гіпохлориту натрію для знезараження води в системах централізованого питного водопостачання та водовідведення
Для знезараження питної води застосовують гіпохлорит натрію марки А за ГОСТ 11086-76 "Гіпохлорит натрію. Технічні умови". Для обробки побутових і промислових стічних вод застосовують гіпохлорит марки А та Б, що виробляється в Україні згідно з ГОСТ 11086-76. Гіпохлорит натрію марки А випускається у вигляді водного розчину (РГН) зеленувато-жовтого кольору.
При зберіганні РГН спостерігається випадання осадів у вигляді дрібних пластівців. Це пов'язано з кристалізацією водних гідратів. До факторів, що впливають на стабільність РГН, належать: його концентрація і температура, наявність іонів важких металів, освітлення (при дії світла швидкість розкладу РГН збільшується
приблизно в два рази). РГН у вигляді товарного розчину містить близько 19% активного хлору. Для окремих споживачів цей розчин розводять до 5 або 10%.
У лабораторії набирають піпеткою 10 куб.см РГН з відібраної проби і виконують хімічний аналіз на вміст активного хлору за Методикою визначення масової концентрації активного хлору в розчинах гіпохлориту натрію. За необхідності можуть бути також проведені аналізи на масову концентрацію лугу і заліза.

Знезараження питної води
Для забезпечення населення доброякісною питною водою необхідно суворо дотримуватись вимог санітарних норм при будівництві та експлуатації всіх споруд водопроводу, у тому числі й установок для знезараження води РГН.
Для встановлення робочої дози РГН для знезараження води необхідно проводити пробне хлорування води в умовах, максимально наближених до виробничих (у затемненому термостаті, у який подається водопровідна вода; з дотриманням часу контакту з РГН, який дорівнює часу перебування води в спорудах або трубопроводах).
Робочу дозу РГН вибирають згідно з вимогами Державних санітарних норм та правил "Гігієнічні вимоги до води питної, призначеної для споживання людиною". Точки введення РГН визначають залежно від технологічної схеми очисних споруд водопроводу, якості води джерела водопостачання та інших факторів. При виборі місця введення у воду РГН необхідно враховувати призначення процесу хлорування води (попереднє окислення домішок води, знезараження води або забезпечення відповідного санітарного стану системи подачі і розподілу води тощо).
Прехлорування води виконують для підготовки води до наступного очищення та поліпшення подальших процесів очищення води (коагулювання, відстоювання, фільтрування). У цьому разі РГН уводять у змішувачі або перед насосами першого підйому.
Постхлорування води є завершальним етапом очищення води, тобто кінцевим хлоруванням, яке забезпечує відповідний санітарний стан системи водопостачання. При цьому РГН уводять у лінію подачі очищеної води в резервуари чистої води. Це забезпечує необхідну концентрацію залишкового хлору у воді і гарантує надійний санітарний стан системи подачі і розподілу води.
Витрата робочого РГН залежить від таких факторів: концентрації активного хлору в РГН, температури і якості оброблюваної води, величини хлоропоглинання даної води, часу контакту з водою, забруднення трубопроводів і резервуарів. Витрату робочих РГН визначають за методикою визначення необхідної витрати розчину гіпохлориту натрію для очищення і знезараження питної або стічної води:
Дг.н. х Qгод
Qг.н.= --------------- , куб.дм/год;
Хг.н.,
де Дг.н - доза РГН за концентрацією активного хлору, г/куб.м; Qгод - витрата оброблюваної води, куб.м/год; Хг.н.- уміст активного хлору в РГН, г/куб.дм.
Приклад. Визначити витрату розчину гіпохлориту натрію, у якому вміст активного хлору Хг.н. становить 140 г/куб.дм, для подачі його у воду при її витраті Qгод = 400 куб.м/год при застосуванні дози РГН за активним хлором Дг.н. = 3,6 г/куб.м.
Рішення. Витрата розчину гіпохлориту натрію буде дорівнювати:
36 х 400
Qг.н. = ------------ = 10,3 куб.дм/год.
140
Уведення розрахункової кількості РГН в оброблювану воду виконують вакуумним (за допомогою ежектора та мірника або ротаметра) або напірним способом (за допомогою насоса-дозатора). При цьому перевагу слід надавати мембранним насосам для агресивних середовищ з повністю відокремленим проточним каналом РГН від рухомих механізмів.

Дезінфекція артезіанських свердловин
Профілактичну промивку і дезінфекцію артезіанських свердловин, що використовуються з метою централізованого питного водопостачання, необхідно виконувати при прийманні їх в експлуатацію після закінчення будівництва та в процесі експлуатації - не рідше 1 разу на рік (резервуарів малої потужності і водонапірних башт - 2 рази на рік) за графіком, погодженим з органами державного санітарно-епідеміологічного нагляду.
Дезінфекцію артезіанських свердловин виконують у три етапи.
Перший етап - свердловину експлуатують протягом 24 годин з відкачуванням води з інтенсивністю, що перевищує звичайну на 15-20%. Після цього виймають колону робочих труб з насосним агрегатом, чистять їх та ретельно миють водою. Потім методом наповнення виконують дезінфекцію робочим РГН з концентрацією 100-150 мг/куб.дм активного хлору, кінці труб повинні бути закриті на час експозиції 3-6 годин.
Другий етап - гумовою кулею свердловину розділяють на дві частини: надводну і підводну. Надводну частину заповнюють на 3-6 годин РГН з вмістом 50-100 мг/куб.дм активного хлору, після чого гумову кулю виймають (після випуску з неї повітря) і РГН зливається у воду свердловини. На дно свердловини опускають шланг і подають РГН з концентрацією активного хлору 100 мг/куб.дм з таким розрахунком, щоб концентрація активного хлору у воді свердловини становила не менше 50 мг/куб.дм, і витримують 3-6 годин. Розрахунковий об'єм РГН приймається більше об'єму свердловини в 2-4 рази.
Третій етап - після закінчення періоду дезінфекції встановлюють продезинфіковані робочі труби з насосним агрегатом і здійснюють відкачування води у звичайному режимі експлуатації до зникнення у воді запаху хлору, після чого відбирають воду для проведення санітарно-бактеріологічних аналізів згідно з чинними нормативно-правовими актами.
Розчин гіпохлориту натрію негорючий і невибухонебезпечний продукт, однак при контакті з органічними горючими речовинами в процесі висихання може викликати їх загоряння. РГН не допускається зберігати в приміщенні разом з органічними продуктами, горючими матеріалами і кислотами. У разі загоряння - гасити водою, піском, вуглекислотними вогнегасниками. РГН, що розлився, змити водою.
Виробничі приміщення повинні бути обладнані припливно-витяжною вентиляцією із забезпеченням не менше ніж 5-кратного обміну повітря на годину. Негерметичні вузли обладнання мають забезпечуватись місцевим вентиляційним відсмоктуванням.
При прийманні та переливанні товарного концентрованого РГН у виробничих умовах потрібно дотримуватись вимог безпеки, що спрямовані на захист органів дихання, шкіри і слизової оболонки очей (фільтрувальний протигаз марки В, ізолювальні дихальні прилади, захисні окуляри, захисні протихімічні рукавиці, чоботи, шолом з нагрудником, захисний костюм). На робочому місці забороняється вживати їжу, пити воду, курити.
Правила надання першої долікарської допомоги при отруєнні гіпохлоритом натрію
Потерпілого насамперед треба вивести із зони, що містить РГН, зняти засоби індивідуального захисту, звільнити від здавлювального одягу.
РГН, що потрапив на шкіру, змити струменем води, краще з милом, або зняти за допомогою тканини або ватного тампона, а потім промити шкіру достатньою кількістю води.
При потраплянні РГН в очі необхідно негайно добре промити їх достатньою кількістю води.
При надходженні речовини в шлунок потерпілому необхідно дати випити декілька склянок води і викликати блювоту. Процедуру повторити 2-3 рази. (Забороняється викликати блювоту у хворого, що перебуває в непритомному стані або при наявності судом). Після цього потерпілому дають випити 0,5-1 склянку води з 4-5 таблетками карболену або активованого вугілля (1 столова ложка на 0,5 склянки води). Потім дати тільки сольове проносне (20-30 г гіркої солі на 0,5 склянки води).
Потерпілого необхідно зігріти. Якщо він у непритомному стані, грілки слід застосовувати з великою обережністю, щоб уникнути опіків.
При послабленні дихання потерпілому дають нюхати нашатирний спирт. У разі припинення дихання необхідно негайно приступити до штучної вентиляції легень. За наявності судом необхідно виключити будь-які подразнення, забезпечити хворому цілковитий спокій. При шкірних кровотечах прикладати тампони, змочені перекисом водню, при носових кровотечах - укласти постраждалого, підняти і злегка закинути голову, прикладати холодні компреси на перенісся і потилицю, у ніс - тампони, зволожені перекисом водню.
Дозування гіпохлориту натрію
Для окислення заліза, марганцю, сірководню, органічних речовин і для дезінфекції у водоочищенні застосовується метод пропорційного дозування водного розчину гіпохлориту натрію за допомогою насоса дозації, що спрацьовує за витратою води від імпульсного водолічильника або вручну.
Станція дозування гіпохлориту включає: насос-дозатор, витратомір з імпульсним виходом, ємність з реагентом і контактну ємність. При проходженні води через витратомір на насос дозатор подається імпульс, і він дозує у воду гіпохлорит натрію, пропорційно кількості води, що обробляється. Вода з реагентом надходить у контактну ємність, де відбувається окислення всіх забруднень і нейтралізація бактерій і вірусів, що у воді.
Насоси дозації
Гіпохлориту натрію NaOCl дуже корозійно-активна речовина і агресивний навіть до сталі, міді та алюмінію. До того ж дозування відносно невелике – літри на добу. Дозація відбувається в воду, що протікає по трубі, тому дозування потрібне точне. Тому для дозування гіпохлориту використовуються спеціальні насоси-дозатори. Насоси дозації бувають двох типів - мембранні та плунжерні.
Мембранні насоси можна розділити на два типа: соленоїдні насоси дозатори до 80 л/годину із електроним управлінням; мембрані насоси дозатори до 1027 л/годину із електродвигуном та механічним управлінням.
Плунжерні насоси використовуються для дозування в систему із високим тиском. Є ще насоси-дозатори безнапірні.
Нейтралізація гіпохлориту
Тіосульфат використовують у фарбувальному виробництві для звільнення матеріалу, що вибілюється хлорнуватистою кислотою, від її надлишку. Таке використання тіосульфату ґрунтується на його відновних властивостях: під дією кислоти-окисника НСlО тіосульфат легко окислюється до сульфату за рівнянням:
Nа2S2О3 + 4НСlО + Н2О = Nа2SО4 + Н2SО4 + 4НСl; NaClO + H2O NaOH + HClO; 2HClO 2HCl + O2.
Гіпохлоритна кислота НСlО — одноосновна кислота, відома лише у розчині, в якому спостерігається рівновага: Сl2О + Н2О → 2НСlО → 2Н+ + 2СlO-.
Гіпохлоритна кислота — дуже слабка кислота і витісняється з її солей навіть вугільною кислотою. У розчині розкладається за одним з трьох рівнянь:
НСlO = НСl + О;
2НСlO = Сl2О + Н2O;
3НСlO = НСlO3 + 2НСl.
Гіпохлоритна кислота — сильний окисник, який застосовується в органічному синтезі, в процесах дезінфекції, вибілювання тощо. Солі — гіпохлорити — у розчині малостійкі і гідролізують. Їх добувають пропусканням хлору крізь холодний розчин лугу: 2NaОН + Сl2 = NaСl + NaСlO + Н2O.
Одержаний розчин, що містить суміш солей лужних металів хлороводневої і гіпохлоритної кислот, називається жавелевою водою і застосовується для вибілювання тканин, паперу тощо. Ці властивості лабаркової води зумовлені тим, що гіпохлорит налію легко розкладається під дією оксиду вуглецю (IV) повітря з виділенням гіпохлоритної кислоти:
NaСlO + СО2 + Н2О = NaНСО3 + НClO.
Реакція утворення індофенолу (індофенольна проба)
Під час окиснення фенолів і амінів утворюються забарвлені індофеноли. Дана реакція характерна для фенолів, у яких відсутні замісники в пара-положенні. Дана реакція має негативне судово-хімічне значення, використовується для підтвердження фенолу в дистиляті.
Виконання реакції
До 0,5 – 1 мл дистиляту, що містить феноли, додають 1 мл 1 % розчину аніліну і 2 мл 3 ‒ 5 % розчину натрій гіпохлориту або розчину хлорного вапна – суміші гіпохлориту, кальцій хлориду і гідроксиду. Поява брудно-фіалкового забарвлення внаслідок утворення індолу вказує на наявність фенолу. Якщо до розчину додати трохи концентрованого амоніаку, колір розчину зміниться на синій. При підкисленні розчину хлоридною кислотою до рН 1 забарвлення змінюється на рожеве.
- Хімія для роботи з чорними та кольоровими металамиРекомендації щодо проведення хімічної підготовки металів для подальшої роботи з нимиХімія для роботи з чорними та кольоровими металами
- Лимонна кислота: застосування у харчовій промисловості, побуті та інших сферахЛимонна кислота – універсальний інгредієнт, який широко використовується в харчовій промисловості, косметології, медицині та побуті. Дізнайтеся, як вона допомагає зберігати продукти, очищати поверхні та покращувати якість випічки. У цій статті ми розглянемо її основні властивості та ефективне застосування.Лимонна кислота: застосування у харчовій промисловості, побуті та інших сферах




