Фуксин кислий. Застосування фуксину.

Фуксин кислий (розалін гідрохлорид, fuchsine, fuchsin) – аніліновий барвник, розчини якого вважають еталоном кольору мадженти – червоно-пурпурового кольору. Кристалічний фуксин від темно-зеленого до коричневого кольору.
Фуксин використовується як барвник для текстилю, для мікробіологічного бактеріального й цитологічного аналізу, а також у лікарських засобах, які забезпечують широкий спектр протимікробних ефектів при ураженнях шкіри і слизових оболонок інфекційними збудниками, а також фунгіцидний ефект при грибкових ураженнях зовнішніх покривів. Наприклад, фукорцину розчин (діючі речовини: 1 мл розчину містить: фуксину основного – 4 мг, кислоти борної – 8 мг, фенолу – 39 мг, ацетону – 0,049 мл, резорцину – 78 мг, етанолу 96 % – 0,095 мл; допоміжна речовина: вода очищена) призначають для лікування захворювань шкіри, спричинених чутливими до компонентів препарату збудниками: різні види дерматоміцетів (трихофітони, мікроспоруми, епідермофітони), мікробна екзема, жирна та змішана форми себореї.
Кислий фуксин – модифікований приєднанням сульфогруп (S(=O)2OH) основний фуксин. Існує 12 ізомерів кислого фуксину, які тільки трохи відрізняються за властивостями. Максимум поглинання світла в воді – 544-550 нм. Токсична та канцерогенна речовина. Молярна маса – 585,54 г/моль. Оптимальні умови зберігання: при кімнатній температурі у темному сухому місці.


Застосування фуксину
Деякі похідні фуксину, наприклад, основний фіолетовий К, використовують при виготовленні олівців, чорнила, паст для кулькових ручок.

Основні сфери використання фуксину – фармацевтичні, мікробіологічні та гістологічні дослідження
Фуксин є протигрибковою речовиною, а також поряд з іншими аніліновими барвниками — діамантовим зеленим і метиленовим блакитним — виявляє активність щодо стафілококів, тому входить до складу деяких антисептиків. За допомогою фуксину S забарвлюють бактерії, щоб мати можливість вивчення їх під мікроскопом. Також є в складі індикаторів, зокрема Андраде. Для цитологічної практики характерне залучення кислого фуксину за Альтманом (розчинення 20 г речовини в 100 мл анілінової води). Рекомендоване поєднання з гематоксиліном. Після закінчення фарбування зрізи поміщуються в канадський бальзам. Роль цитоплазматичного барвника полягає в наданні кольору елементам сполучних тканин (забарвлення за Ван Гізоном, Маллорі). Також використовують як протигрибковий засіб.
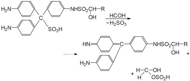
Реакція взаємодії альдегідів з фуксинсульфатною кислотою (реактив Шиффа). Розчин забарвлюється в червоний або червоно-фіолетовий колір. При додаванні до реакційної суміші мінеральних кислот забарвлення зникає. У присутності формальдегіду забарвлення не зникає. Реакцію вважають специфічною для формальдегіду.

Фуксин у аналізі
Броміди
Наважку випробовуваної субстанції, еквівалентну близько 5 мг бромід-іона (Br-), поміщають у невелику пробірку, додають 0,25 мл води, близько 75 мг свинцю(IV) оксиду, 0,25 мл кислоти оцтової і обережно струшують. Верхню внутрішню частину пробірки висушують за допомогою фільтрувального паперу і залишають на 5хв. Смужку фільтрувального паперу необхідного розміру імпрегнують, уміщуючи її край у краплю розчину фуксину знебарвленого і негайно поміщають імпрегновану частину в пробірку. Протягом 10 с біля нижнього краю фільтрувального паперу з'являється фіолетове забарвлення, яке чітко відрізняється від червоного забарвлення фуксину, що спостерігається у верхній імпрегнованій частині смужки паперу.
Пояснення та рівняння реакцій
Оксид свинцю(IV) у кислому середовищі проявляє властивості сильного окисника.
2KBr + PbO2 + 4CH3COOH = Br2 + Pb(CH3COO)2 + 2CH3COOK + 2H2O
Пари брому реагують із знебарвленим фуксином. Утворюються продукти бромування фуксину, що мають фіолетового забарвлення. Відкриваний
мінімум — 3,2 мкг.
Інший варіянт проведення аналізу
До 1 мл розчину, що містить випробовувану субстанцію у кількості, еквівалентній близько 2-30 мг бромід-іона (Br-), додають 1 мл кислоти хлористоводневої розведеної, 0,5 мл розчину (свіжо приготованого) 50 г/л хлораміну, 1 мл хлороформу і збовтують; хлороформний шар набуває жовто-бурого забарвлення.
Фуксин - адсорбційний індикатор
Визначають галогени та тіоціанати титруванням 0,01 - 0,1 моль/дм3 розчинами AgNO3 (Ag+) у присутності фуксину як індикатору, зміна забарвлення:
Cl– червоно-фіолетовий — рожевий
Br–, I– оранжевий — рожевий
NCS– синій — рожевий
Реактив Шиффа
Оксазепам при нагріванні з кислотою фосфорною концентрованою гідролізується з утворенням формальдегіду, який із фуксинсульфітною кислотою дає фіолетове забарвлення:

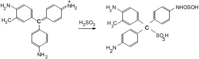
Фуксинсульфітна кислота — безбарвна речовина, яка при взаємодії з розчинами альдегідів або деяких кетонів поступово дає червоно-фіолетове забарвлення:



Для більшості сполук, крім формальдегіду, забарвлення зникає від додавання мінеральної кислоти. Глюкоза такої реакції не дає через низьку концентрацію у водному розчині альдегідної форми.
Приготування реагенту Шиффа
Розчиняємо 1 г фуксину та 1,9 г натрію метабісульфіту (Na2S2O5) у 100 мл 0,15 М соляної кислоти (HCl). Струшуємо розчин з інтервалами чи механічним шейкером протягом 2 год. Готовий розчин має бути прозорий та жовтого чи світло-коричневого кольору. Додаємо 500 мг активованого вугілля та перемішуємо 1-2 хвилини. Фільтруємо – отримуємо прозорий безбарвний розчин. Реактив Шиффа стабільний декілька місяців при зберігання за температури 4 °С.
У пробірку до 3-4 крапель розчину Na2SO3 додайте 1 краплю розчину фенолфталеїну і (по краплях) розчин оцтової кислоти з с(НАс) = 3 моль/л, поки розчин не знебарвиться (рН = 3-6). Додайте краплю малинового розчину фуксину, що під дією SO2 миттєво знебарвлюється, утворюючи фуксинсірчисту кислоту:

Способи приготування розчинів фуксину
Фуксин основний (насичений спиртовий розчин):
- фуксин основний кристалічний - 10 г
- спирт етиловий 96° - 90 мл.
Розчин зберігають у пляшці з темного скла з притертим корком.
Фуксин основний карболовий (фуксин Циля):
- фуксин основний, спиртовий розчин, насичений - 10 мл
- карболова кислота (фенол) - 5 г
- вода дистильована 95 мл.
Фенол краще розчиняти у підігрітій до 50 °С воді. Готову суміш залишають у термостаті на 2 доби при 37 °С, потім фільтрують через паперовий фільтр. Можна зберігати тривалий час у темній склянці з притертим корком.
Фуксину водний розчин (синоніми: фуксин Пфейффера, фуксин розбавлений, фуксин основний - водний розчин):
- карболовий фуксин Циля - 10 мл
- вода дистильована - 90 мл.
Водний розчин фуксину нестійкий - може зберігатись не більше 10 діб. Краще користуватися свіжевиготовленим розчином.
Фуксин основний формаліновий ( В. Власенко, І. Березовський, І.Власенко):
- фуксин основний, спиртовий розчин, насичений -10 мл
- формалін - 10 мл
- вода дистильована - 90 мл.
Можна зберігати тривалий час у темній склянці з притертим корком.
Приготування реактиву Андреде (Андраде)
- фуксин кислий - 5 г
- натрію гідроксид NaОН, 1н - 150-180 мл
- вода дистильована - 1 000 мл.
Фуксин кислий розчиняють у воді, додають розчин лугу, перемішують і залишають при кімнатній температурі на 24 год, періодично струшуючи. Колір повинен змінитися з червоного на коричневий (у кислому середовищі індикатор червоніє). Якщо колір не змінюється, додають ще 10 мл лугу і витримують ще добу.
За іншим приписом суміш складових витримують 24 год у термостаті при 37 °С, а потім ще 48 год при кімнатній температурі на світлому місті.
Індикатор зберігають у пляшці з темного скла з притертим корком.
Альтернативний варіант
0,5 г кислого фуксину розчиняють в 100 мл стерильної дистильованої води, додають 16,4 мл 1 н. розчину NaOH та стерилізують 5 хв. при t° 110 °С. Зберігають Андраде індикатор в темних склянках. Середовище після додавання індикатору повинне бути безбарвним або мати слабкий солом'яно-жовтий колір без рожевого відтінку. У кислому середовищі індикатор Андраде червоніє.
Виготовлення спиртокарболового розчину барвника фуксину - карболового фуксину Циля
Посуд та обладнання: лоток, скляна воронка, флакон із темного скла та притертою пробкою, терези, різноваги, фільтрувальний папір, порцелянова ступка з товкачем.
Реактиви: фуксин основний кристалічний, гліцерин, спирт етиловий 96°, кристалічна карболова кислота (фенол), дистильована вода.
Алгоритм виконання:
1. Зважити 1 г основного кристалічного фуксину.
2. Перенести наважку в фарфорову ступку.
3. Додати 5 г кристалічної карболової кислоти та декілька крапель гліцерину.
4. Добре розтерти пестиком. Під час розтирання додавати невеликими порціями спирт.
5. Долити, помішуючи, 100 мл дистильованої води.
6. Фільтрувати через вологий паперовий фільтр.
Результати: отримано стійкий, завдяки фенолу, та м'який, завдяки гліцерину, розчин фарби.
Використання: для фарбування кислотостійких бактерій та спор. Для приготування фуксину Пфейфера.
Приготування спиртоводного розчину барвника - фуксину Пфейфера
Оснащення: лоток, скляна воронка, флакон із темного скла та притертою пробкою, терези, різноваги, фільтрувальний папір, порцелянова ступка з товкачем.
Реактиви: Фуксин основний кристалічний, гліцерин, спирт етиловий 96°, кристалічна карболова кислота (фенол), дистильована вода.
Алгоритм виконання:
1. Приготувати карболовий фуксин Циля.
2. До 1 частини фуксину Циля додати 9 частин дистильованої води.
3. Перемішати.
Результати: приготований розчин нестійкий, готується безпосередньо перед застосуванням у невеликих кількостях.
Використання: для простого фарбування та як допоміжний барвник у складних методах фарбування.
Як пофарбувати бактерії за методом Грама-Вейгерта
Техніка фарбування бактерій в гістологічних зрізах по Граму-Вейгерту
- депарафіновані зрізи доводять до води
- фарбують 20хв в 1% розчині основного фуксину в 1% оцтовій кислоті (розчин барвника нагрівають до кипіння, охолоджують та фільтрують)
- промивають у 3 змінах дистильованої води
Результат: грампозитивні бактерії – синьо-чорні, фібрин – фіолетовий, ядра – червоні.
Метод пилкового аналізу меду
Апаратура, матеріали та реактиви
- мікроскоп біологічний із збільшенням 1000 х
- камера Горяєва для підрахунку формених елементів крові
- центрифуга електрична зі швидкістю обертів до 5000 об/хв
- терези лабораторні 2-го класу точності з найбільшою межою зважування 200 г
- пробірки центрифужні
- баня водяна
- термометр ртутний лабораторний до 100 °С
- склянки хімічні місткістю 100 мл
- спирт етиловий ректифікований з масовою часткою 96 %
- фуксин кристалічний, спиртовий розчин з масовою часткою 10 %
- ангідрид оцтовий, х. ч.
- кислота оцтова крижана, х. ч.
- кислота сірчана концентрована, густиною 1,84 г/см3, х. ч.
- вода дистильована
Проведення випробування
У хімічній склянці зважують 20 г меду з точністю до 0,01 г, додають 40 мл дистильованої води, вміщують розчин у водяну баню за температури 45 °С і нагрівають до повного розчинення меду.
Далі розчин переливають у центрифужні пробірки та центрифугують зі швидкістю від 2500 об/хв до 3000 об/хв протягам 15 хвилин. З кожної пробірки зливають верхній шар, до осаду додають по 2 мл дистильованої води, перемішують та виливають всі розчини в одну пробірку. Центрифугують як описано вище.
Розчин зливають, з осаду беруть краплю, переносять на предметне скло. Після незначного підсихання фіксують її вміст краплею спиртового фуксину та накладають покрівне скло. Зразок розглядають під мікроскопом за збільшення 1000 х.
У квітковому меді з домішками паді знаходять водорості. Наявність незначної кількості дріжджових клітин, характерна для меду з ознаками бродіння (закисання).
- Хімія для роботи з чорними та кольоровими металамиРекомендації щодо проведення хімічної підготовки металів для подальшої роботи з нимиХімія для роботи з чорними та кольоровими металами
- Лимонна кислота: застосування у харчовій промисловості, побуті та інших сферахЛимонна кислота – універсальний інгредієнт, який широко використовується в харчовій промисловості, косметології, медицині та побуті. Дізнайтеся, як вона допомагає зберігати продукти, очищати поверхні та покращувати якість випічки. У цій статті ми розглянемо її основні властивості та ефективне застосування.Лимонна кислота: застосування у харчовій промисловості, побуті та інших сферах





