Сахарин натрію. Цукрозамінник і підсолоджувач

Сахарин натрію - харчова добавка Е 954. З синтетичних підсолоджувачів значне застосування знаходить сахарин – ортосульфамід бензойної кислоти (біла кристалічна речовина з температурою плавлення 228-229°С), а також його натрієва, калієва і кальцієва солі. Підсолоджувач «старого» покоління має «гіркуватий» присмак, ця незручність може бути усунена шляхом змішування з цикламатами. Солодше сахарози в 300 разів та солодше цукру у 500-600 разів (Ксл 500). Тому його дозування може бути дуже низьким.
Сахарин швидко проходить через травний тракт і 98 % його виходить з сечею, має слабку сечогінну дію. Проте його нешкідливість вимагає подальшого вивчення, і щоденне застосування небажане.
При варінні, особливо при рН нижче 7, сахарин частково розкладається з відщепленням імідо-групи з утворенням ортосульфобензойної кислоти, що має неприємний присмак фенолу. Стабільний при заморожуванні і нагріванні. Використовується при виробництві харчових продуктів для хворих на діабет, а також в дієтичних сирах, напоях, жувальній гумці і т. ін.
Він не руйнується при термічній обробці, тому його можна додавати у кондитерські вироби та компоти, а от для маринадів він не підходить, бо не є консервантом. Сахарин застосовують замість цукру при захворюванні на діабет, а також як сурогат цукру.
За смаком він відрізняється від цукрози, адже має післясмакову гіркоту і металевий присмак, який потрібно маскувати. Добре інгібує гіркий смак сахарину фруктоза. Так, суміш, що складається з 99,7% фруктози та 0,3% сахарину, має добрий смак і солодкість у 3-4 рази більшу, ніж цукроза. В суміші цикламат-сахарин 10:1 кожен із підсолоджувачів маскує неприємний присмак іншого. Також, сахарин часто використовують з аспартамом в дієтичних газованих безалкогольних напоях.


У 1960-х роках з’являлися повідомлення про те, що сахарин нібито є канцерогеном. У 1977 р. FDA запропонувала заборонити використання сахарину у харчовій промисловості, а в 1991 р. відкликала свою пропозицію щодо заборони. Нині сахарин дозволений у більше ніж 90 країнах. Вважається, що при дотриманні дози (5 мг/кг маси тіла людини) продукт не має небезпеки для здоров’я.

Застосування сахарину натрію
У харчовій промисловості сахарин використовують як столовий підсолоджувач, у виробництві хлібобулочних виробів, безалкогольних та дієтичних напоїв, молочних продуктів, сухих сніданків, жувальних гумок, консервованих фруктів, джемів, повидла, соусів для салатів, желе та інших десертів. Окрім харчової промисловості, похідні сахарину використовуються в якості фунгіцидів, гербіцидів і антибактеріальних препаратів. Сахарин послаблює роботу травних ферментів і виявляє бактерицидні властивості, які перевершують по силі дії фенол і саліцилову кислоту, взяті в тих же дозах. Сахарин та його кальцієві і цинкові солі входять до складу композицій, що використовуються для виготовлення тонерів лазерних принтерів і копіювальних апаратів. Відзначається, що невеликі добавки іміду 2-сульфобензойної кислоти можуть впливати на перебіг вулканізації гум за допомогою пероксидів.
Також сахарин використовується у фармацевтичній промисловості при виробництві мультивітамінів, протизапальних засобів тощо. У пероральних фармацевтичних препаратах сахарин використовується в концентрації 0,02–0,5% та може застосовуватися при отриманні жувальних таблеток. Також сахарин вводять в склад гігієнічної продукції по догляду за порожниною рота, таких як зубні пасти та ополіскувачі.
Продукт взаємодії тетрагідрохіноліну та сахарину знаходить застосування в складі композицій на основі метакрилатів, що використовуються як клеї для металів.

Рецепт. Повітряне печиво з сахарином
Рекомендоване для хворих на цукровий діабет
- Яєчний білок - 100кг (5000 шт.)
- Сахарин - 0,01кг
- Ванілін - 0,05кг
В 1 кг 4000-5000шт (вага однієї шт. 0,2г)
Яєчні білки збиваються в густу масу. Далі, в них додаються сахарин і ванілін, розчинені в невеликій кількості води, все обережно перемішується і відсаджується на підігрітий змащений олією листок, у вигляді печива - круглого, овального, спіралеподібного. Випікається протягом 20 хв., при температурі 190-200°С. Вихід готових виробів – близько 11 кг.
Кількісне визначення добавки Е 954 в продуктах харчування
У харчування сахарин можна визначити методом високоефективної рідинної хроматографії. Метод заснований на екстрагуванні сахарину з проби водою або розведенні проби водою, очищення екстракту методом твердофазної екстракції або за допомогою реактивів Карреза і подальшому кількісному визначенні сахарину за допомогою ВЕРХ із застосуванням хроматографічної колонки з обернено-фазовим сорбентом і спектрофотометричного детектування при довжині хвилі 220 нм. При кількісному визначенні вимірюють площу або висоту піків аналізованих речовин на хроматограмі розчину проби і співвідносять їх з концентрацією аналізованих речовин в градуювальному розчині з найбільш близькими значеннями площі або висоти піків цих речовин, або використовують градуювальний графік.
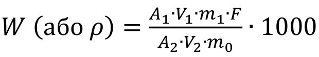
Для побудови градуювального графіка проводять хроматографічний аналіз достатнього числа градуювальних розчинів з відповідними концентраціями аналізованих речовин. За результатами цих аналізів будують графік залежності висоти або площі піку аналіту від його масової концентрації в градуювальних розчинах, вираженої в міліграмах на кубічний дециметр. Перевіряють лінійність градуювального графіку. Потім розраховують масову частку в мг/кг, або масову концентрацію в мг/дм3, сахарину за формулою:
![]()
де A1 – площа піку сахарину, який визначають, отримана при аналізі розчину проби; V1 – об’єм розчину проби, см3 (при дотриманні умов стандарту він дорівнює 100 або 500 см3); m1 – маса сахарину, який визначають, в градуювальному розчині (V2), мг; F – кратність розведення для використаного методу очищення (при колонній очистці – 10, при очищення розчинами Карреза − 1); A2 – площа піку сахарину, отримана при аналізі градуювального розчину; V2 – об’єм стандартного розчину, см3 (при дотриманні умов стандарту він дорівнює 100 см3); m0 – маса (об’єм) проби аналізу, г (см3).
- Хімія для роботи з чорними та кольоровими металамиРекомендації щодо проведення хімічної підготовки металів для подальшої роботи з нимиХімія для роботи з чорними та кольоровими металами
- Лимонна кислота: застосування у харчовій промисловості, побуті та інших сферахЛимонна кислота – універсальний інгредієнт, який широко використовується в харчовій промисловості, косметології, медицині та побуті. Дізнайтеся, як вона допомагає зберігати продукти, очищати поверхні та покращувати якість випічки. У цій статті ми розглянемо її основні властивості та ефективне застосування.Лимонна кислота: застосування у харчовій промисловості, побуті та інших сферах





