Цинк сульфат для підживлення рослин

Цинку сульфат гептагідрат - кристалічний порошок білого кольору або безбарвні прозорі кристали. Вивітрюються на повітрі. Дуже легко розчинний у воді, практично нерозчинний у 96 % спирті. Водний розчин має кислу реакцію середовища. Містить близько 22 % засвоюваного рослинами цинку, тому його застосовують як добриво для передпосівного оброблення насіння і позакореневого підживлення рослин.
Ідентифікація
Субстанція дає реакції на цинк і сульфати.
Цинк:
Реакція з розчином натрій гідроксиду – утворюється білий осад, розчинний у лугах і кислотах:
Zn2+ + 2OH– = Zn(OH)2↓;
Zn(OH)2↓+ 2OH– = [Zn(OH)4]2–;
Zn(OH)2↓+ 2HCl = ZnCl2 + 2H2O.
Реакція з розчином натрій сульфіду – утворюється білий пластівчастий осад:
Zn2+ + S2– = ZnS↓.
Осад розчиняється у сильних мінеральних кислотах, але не розчиняється у ацетатній кислоті.
Реакція з розчином калій гексаціаноферату(II) (жовтої кров'яної солі) – утворюється білий кристалічний осад, нерозчинний у розведеній хлоридній кислоті, розчинний в лугах:
3Zn2+ + 2K+ + [Fe(CN)6]4– = K2Zn3[Fe(CN)6]2↓.
Дія дитизону. Для відкриття малих кількостей цинку використовують реакцію одержання цинк дитизонату. До розчину дитизону в ССl4 додають декілька крапель нейтрального розчину солі цинку і добре перемішують: зелене забарвлення реактиву переходить в яскраво-червоне. Цинк дитизонат являє собою внутрішньокомплексну сполуку, яка не розчиняється у воді, але розчинна в чотирихлористому вуглеці.
Дія Co(NO3)2. Кобальт нітрат з солями цинку утворює кобальт цинкат, забарвлений у зелений колір, який називається «зеленню Рінмана»:
Zn(NO3)2 + Co(NO3), = CoZnO2 + 4NO2 + О2.
Реакцію проводять сухим способом. Смужку фільтрувального паперу змочують розчином солі цинку і розведеним розчином кобальт нітрату, підсушують і спалюють. Одержаний попіл має зеленуватий відтінок.
Сульфати:
Реакція з розчином барію хлориду у середовищі кислоти хлористоводневої розведеної утворюється білий осад:
SO42– + BaCl2 →BaSO4↓+ 2Cl–
Сульфати не знебарвлюють розчин йоду (на відміну від сульфітів і дитіонітів).
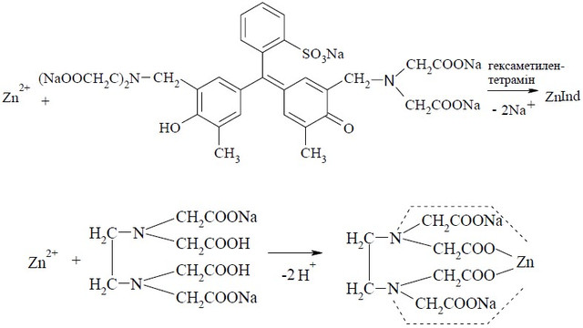
Кількісне визначення
Комплексонометрія, пряме титрування після розчинення субстанції в кислоті оцтовій розведеній у присутності гексаметилентетраміну, індикатор – ксиленоловий оранжевий, s = 1. Титрують натрію едетатом до переходу фіолетово-рожевого забарвлення у жовте:

Цинк сульфат як добриво
Вміст цинку в рослинах становить 15-60 мг/кг сухої речовини. Він активує дію ферментів, входить до складу ферментативних систем, що беруть участь у диханні, синтезі білків та ауксинів, підвищує тепло-, посухо- і холодостійкість рослин, відіграє важливу роль у регулюванні процесів росту. Винос цинку з урожаєм польових культур коливається від 50 г до 2 кг/га. Значну його кількість містять часник, цибуля, листки мальви, однак його вкрай мало у фруктах, моркві, капусті.

Найчутливіші до нестачі цинку плодові й цитрусові культури, виноград, кукурудза, хміль, соя, льон, помідор, часник, сорго, бобові; менш чутливі – буряк, соняшник, конюшина, цибуля, картопля, капуста, огірок, ягідники; майже нечутливі – овес, жито, пшениця, ячмінь, морква. Особливо велике значення має цинк для розвитку рису, що пов'язано зі специфікою вирощування цієї культури.
За нестачі цинку в ґрунті сформовані листки рослин набувають жовто-зеленого забарвлення, вкриваються плямами і відмирають; молоді листки дрібні, з хвилястими краями, асиметричні; на деревах, зокрема на яблуні, груші, горіхові, погано закладаються плодові бруньки, на верхівках гілок утворюються пагони з укороченими міжвузлями й дрібними листками – так звана розетковість. Проте нестача цинку сильніше впливає на розвиток насіння, ніж на розвиток вегетативних органів.
Ознаки цинкового голодування широко виявляються у різних плодових (яблуня, черешня, айва, горіх, пекан, абрикос, авокадо, лимон, виноград) й, особливо, в цитрусових культур. Плоди стають дрібними, спотвореними, знижується врожайність, сік набуває водянистого та "дерев'янистого" смаку. Високі норми фосфорних і азотних добрив, значне збільшення глибини оранки посилюють ознаки нестачі цинку в рослин. Особливо цинкові добрива потрібні у разі внесення високих норм фосфору (так як фосфати цинку малорозчинні) і вапна, за низької температури ґрунту. Сприяють засвоєнню цинку кислотність ґрунту на рівні pH 5,0-6,5 та оптимальний вміст іонів-синергістів – калію і молібдену. Слід також врахувати, що цинк майже не піддається реутилізації.
Значення цинку для росту рослин тісно пов'язане з його участю в азотному обміні. Дефіцит цинку призводить до значного накопичення розчинних азотних сполук – амінів і амінокислот, що порушує синтез білків. Під впливом цинку активується синтез цукрів і крохмалю, збільшується загальний вміст вуглеводів, білкових речовин, аскорбінової кислоти і хлорофілу, підвищуються посухо-, жаро- і холодостійкість рослин.
Надлишок цинку в живленні рослин трапляється досить рідко. Ріст рослин при цьому ослаблюється, молоді пагони відмирають, листки вкриваються іржаво-
бурими плямами. За високого вмісту цинку в ґрунті знижується засвоюваність міді рослинами.
Рухомість цинку та його надходження в рослини залежить від кислотності ґрунту, вмісту і рухомості сполук інших елементів, інтенсивності мікробіологічних процесів. Вміст рухомих сполук цинку в ґрунтах України становить 0,2–2 мг/кг ґрунту. Майже у 60 % орних ґрунтів України його вміст низький – в середньому 0,2 мг/кг ґрунту, а цього недостатньо для формування високих урожаїв багатьох сільськогосподарських культур. Цинкові добрива ефективні на дерново-підзолистих ґрунтах із вмістом рухомих сполук цинку менш як 0,2-1,0 мг/кг, чорноземах – 0,5-3,0, сіроземах і каштанових ґрунтах – менш як 1,5-2,0 мг/кг.
Кислі дерново-підзолисті ґрунти характеризуються високим вмістом цинку і майже не потребують застосування цинкових добрив. Найчастіше нестача цинку для рослин виявляється на піщаних слабколужних або близьких до нейтральних і карбонатних ґрунтах, де вміст рухомих форм цього елемента, у зв'язку з осадженням його у вигляді карбонатів, досить незначний, а також на ґрунтах з високим умістом вапна і фосфатів. На рухомість цинку і засвоюваність його рослинами впливають високі норми фосфорних добрив і вапна, низькі температури і низький вміст органічних речовин.
З польових культур цинкова нестача найчастіше виявляється на кукурудзі у вигляді утворення білого проростка або побіління верхівки. Показником цинкового голодування у бобових (квасоля, соя) є наявність хлорозу на листках, іноді асиметричний розвиток листкової пластинки.

Норми використання
На 1 т насіння використовують 60–80 л 0,05–0,1 %-го розчину сульфату цинку.
Оброблення насіння зернових культур виконують напівсухим способом 10%-м водним розчином цинку з розрахунку 10 л/т, а позакореневі підживлення проводять 0,1 %-м розчином мікроелемента з розрахунку робочого розчину 300 л/га. Позакореневі підживлення проводять на більшості культур перед початком цвітіння, плодові дерева обприскують навесні до розбруньковування.
Цинкові добрива ефективні лише за вмісту рухомого цинку в ґрунті менш як 0,2-0,3 мг/кг. Якщо в ґрунті 0,4-1,5 мг/кг цинку, рекомендується проводити лише передпосівне оброблення насіння та позакореневе підживлення.
Ефективність цинкових добрив залежить також від чергування культур у сівозміні. Так, кукурудза, попередником якої був буряк цукровий, особливо чутлива до внесення цинкових добрив. Дія цинку досить ефективна при внесенні його на фоні фосфорних добрив.
Рекомендовані норми позакореневого підживлення

Оскільки цинк може накопичуватись у ґрунті, слід бути обережним і суворо контролювати використання цинкових добрив, щоб запобігти його токсичній дії та негативній взаємодії з іншими елементами живлення. Норма внесення цинку має не перевищувати 3–5 кг/га. Слід також мати на увазі, що цинк швидко і міцно фіксується ґрунтом, тому перевагу в застосуванні цинкових добрив слід надавати передпосівному обробленню насіння і позакореневим підживленням.
Біологічна роль
Біологічна роль цинку різноманітна. Він входить до складу багатьох ферментів, зокрема карбоангідрази, яка забезпечує виведення з організму вуглекислоти. Цинк необхідний для нормальної функції залоз внутрішньої секреції (гіпофіза, підшлункової, передміхурової і статевих).

Гіпоглікемічна дія цинку зумовлена його участю в синтезі інсуліну та у реалізації його біологічної дії. Цинк має також ліпотропні і кровотворні властивості. Він приймає участь у біосинтезі білка, метаболізмі нуклеїнових кислот, впливає на розвиток вторинних статевих ознак. Крім того, цинк приймає участь у процесах росту, у формуванні шкіри та волосся. Він є коферментом алкогогальдегідрогенази, що забезпечує метаболізм етилового спирту. Цей мікроелемент бере участь у порфіріновому обміні. Поряд з вітаміном С він є необхідним для утворення фолацину, для трансформації ретинола у ретиналь, що входить до складу сіткової оболонки ока. Поряд з вітаміном В6 він забезпечує метаболізм ненасичених жирних кислот та синтез простогландинів. Він забезпечує сприйняття смаку та запахів.

Недостатність цинку (гіпоцинкоз) дуже поширена серед населення багатьох країн світу. При нестачі цинку погано загоюються рани, виникає пронос (діарея). Ранніми ознаками дефіциту цинку в організмі є апатія і депресія. При недостачі цинку можуть спостерігатися підвищена збудливість, інші різні емоційні порушення, тремтіння (тремор) кінцівок, інколи порушення координації рухів (атаксія). Тяжкі симптоми гострого дефіциту цинку виникають при зменшенні вмісту його в плазмі крові нижче 3 мкмоль/л.
Ендогенна недостатність цинку виникає при алкогольному цирозі печінки.
Основні джерела легкозасвоюваного цинку – продукти тваринного походження (м'ясо, печінка, кров тощо).
Добова потреба людини в цинку становить 12-15 мг, а для матерів, які годують немовлят – 25 мг.

Хімічні властивості сульфату цинку
Цинк 99,99%-ної чистоти одержують електролізом 1 M розчину ZnSО4∙7H2О, підкисленого H2SО4 (0,5 М розчин H2SО4) при 35 °С, при цьому використовують алюмінієві катоди та свинцеві аноди; щільність електричного струму 2 - 4 А/дм3 (на катоді).
Для електролізу застосовують якомога більш чистий розчин сульфату цинку. Сульфат цинку одержують розчиненням оксиду цинку в розбавленій H2SО4, а потім піддають очищенню.
У разі додавання карбонатів лужних металів до розчинів солей цинку, кадмію і ртуті (ІІ) утворюються осади основних карбонатів.
Білий нерозчинний карбонат цинку ZnСО3 можна добути за нижчих значень рН. Для цього до розчину солей цинку (ІІ) додають розчин гідрогенкарбонату калію, насиченого оксидом карбону(ІV):
ZnSО4 + 2КНСО3 = ZnСО3 + К2SО4 + СО2 + Н2О.
Під дією розбавленого розчину аміаку на розчини солей цинку і кадмію спочатку утворюються осади їхніх гідроксидів (або основних солей), а за умови надлишку аміаку — розчинні аміачні комплекси, наприклад:
ZnSО4 + 4NН3 = [Zn(NН3)4]SО4.
Фотометричне визначення з пірокатехіновим фіолетовим та хлоридом цетилпіридинію
Пірокатехіновий фіолетовий (ПКФ) у присутності катіонної ПАР хлориду цетилпіридинію утворює з цинком трикомпонентний комплекс із співвідношенням Zn-ПКФ-ЦПХ = 1:2:2. В той час як бінарний комплекс цинку з ПКФ має максимум поглинання при 500 нм, асоціат Zn(ПКФ)2(ЦПХ)2 максимально поглинає світло при 660 нм (Ԑ=3∙10-4). Оптимальними умовами реакції є рН 8,6, 3-5 кратний надлишок ПКФ та 20-40 кратний надлишок ЦПХ.
Необхідні реагенти, посуд, прилади
- розчин цинку, 2,0 мкг/мл
- розчин пірокатехінового фіолетового, 1∙10-3 моль/л
- розчин хлориду цетилпіридинію, 1∙10-2 моль/л
- розчин боратного буферу (рН 8,6)
- мірні колби ємністю 25 мл
- мірні піпетки ємністю 1,5, 10 мл
- спектрофотометр
Методика роботи
Побудова калібрувального графіка. У 5 мірних колб ємністю 25 мл вносять 1 мл боратного буферу, 1,5 мл 1∙10-3 моль/л розчину ПКФ, 1 мл 1∙10-2 моль/л розчину ЦПХ та 0,25; 0,5; 1,0 … 2,5 мл розчину цинку з концентрацією 2,0 мкг/мл, доводять водою до мітки та вимірюють світопоглинання розчинів при λ=660 нм (l=1,0 см). Як розчин порівняння використовують дистильовану воду.
Для визначення цинку в розчині з невідомою концентрацією до 3 мірних колб ємністю 25 мл вносять 1 мл боратного буферу, 1,5 мл 1∙10-3 моль/л розчину ПКФ, 1 мл 1∙10-2 моль/л розчину ЦПХ, додають аліквотну частину аналіту, розбавляють водою до мітки, перемішують та вимірюють оптичну густину розчинів, дотримуючись тих самих умов, що при побудові калібрувального графіка.
Вміст цинку знаходять за допомогою калібрувального графіка. Проводять статистичну обробку результатів аналізу: обчислюють стандартне відхилення результатів визначення та довірчий інтервал.
Атомно-абсорбційне визначення вмісту цинку в соняшниковій олії у вигляді АПАР-стабілізованої емульсії
Традиційно атомно-абсорбційне визначення цинку та інших важких металів у оліях та жирах проводять у середовищі токсичних органічних розчинників або після ектракції металу з жиру розчинами концентрованих кислот. Визначення вмісту цинку в оліях і жирах, у тому числі і у нерафінованій соняшниковій олії, можна проводити після розчинення останньої у міцелярних розчинах ПАР з утворенням емульсії. Це значно спрощує пробопідготовку і підвищує екобезпечність аналізу.
Необхідні реагенти, посуд, прилади
- розчин цинку, 5∙10-4 моль/л
- нерафінована соняшникова олія
- рафінована соняшникова олія ТУУ 18.503-98
- розчини додецилсульфату натрію, 0,1, 0,25 моль/л
- мірні колби ємністю 25 мл
- мірні піпетки ємністю 1,5, 10 мл
- атомно-абсорбційний спектрометр (склад горючої суміші пропан-бутан-повітря)
Методика роботи
Точну наважку нерафінованої олії (1,0 г) розчиняють у 25 мл 0,1 моль/л розчину ДДСН, перемішуючи на магнітній мішалці до утворення однорідної емульсії, підкислюють систему до рН ≈ 3 розчином азотної кислоти та проводять ААС визначення цинку. Вміст металу в олії знаходять за калібрувальним графіком.
Побудова калібрувального графіка. У 5 мірних колб об’ємом 25 мл вносять 1,0 г рафінованої олії ТУУ 18.503-98 та 0,2; 0,4;…1,0 мл 5∙10-4 моль/л розчину цинку, додають 10 мл 0,25 моль/л розчину ДДСН, доводять дистильованою водою до мітки та перемішують на магнітній мішалці. Будують графік у координатах: інтенсивність аналітичного сигналу ААС визначення цинку – концентрація цинку.
Результати визначення вмісту цинку в нерафінованій олії перевіряють методом добавок. Для цього до підкисленої до рН 3 аналізованої емульсії додають 0,5, 1,0 та 1,5 мл 5∙10-4 моль/л розчину цинку, перемішують на магнітній мішалці, вимірюють аналітичний сигнал та проводять відповідні розрахунки. Вміст цинку у нерафінованій соняшниковій олії порівнюють з гранично допустимою концентрацією цинку в харчових жирах (ГДК = 5 мкг Zn/г)
- Хімія для роботи з чорними та кольоровими металамиРекомендації щодо проведення хімічної підготовки металів для подальшої роботи з нимиХімія для роботи з чорними та кольоровими металами
- Лимонна кислота: застосування у харчовій промисловості, побуті та інших сферахЛимонна кислота – універсальний інгредієнт, який широко використовується в харчовій промисловості, косметології, медицині та побуті. Дізнайтеся, як вона допомагає зберігати продукти, очищати поверхні та покращувати якість випічки. У цій статті ми розглянемо її основні властивості та ефективне застосування.Лимонна кислота: застосування у харчовій промисловості, побуті та інших сферах




