Натрію гідроксид. Каустична сода

Натрію гідроксид (їдкий натр, каустична сода) – безбарвна, дуже гігроскопічна, тверда речовина. У разі безпосереднього контакту вони руйнують більшість матеріалів. Добре розчиняється у воді, у розчинах практично повністю дисоціює і тому належить до лугів – розчинних найсильніших основ. Крім води також добре розчиняється у найпростіших спиртах – метанолі та етанолі. Теплота розчинення 43,1 кДж/моль. Каустичну соду виробляють у світі десятками мільйонів тонн щорічно. Його широко застосовують у різних галузях промисловості.
Натрій гідроксид омилює жири, тому використовується як основа мийних засобів для видалення жиру, вапняного нальоту, а також у чистому вигляді для розчинення мулу та інших органічно-мінеральних старих забруднень трубопроводів, каналізацій та стічних ям.
Хімічні властивості:
Гідроксид натрію у водних розчинах взаємодіє з амфотерними металами та деякими неметалами:
2NaOH + Zn = Na2ZnO2 + H2↑
2NaOH + Si + H2O = Na2SiO3 + 2 H2↑
2NaOH + Cl2 = NaCl + NaClO + H2O
6NaOH + 3S= 2Na2S + Na2SO3 + 3H2O
Він легко реагує з кислотними та амфотерними оксидами (водні розчини лугів активно вбирають вуглекислий газ з атмосери), кислотами, амфотерними гідроксидами, солями та з галогенопохідними:
2NaOH + CO2 = Na2CO3 + H2O
2NaOH + ZnO = Na2ZnO2 + H2O
3NaOH + H3PO4 = Na3PO4 + 3H2O
NaOH + Al(OH)3 = Na[Al(OH)4]
3NaOH + FeCl3 = Fe(OH)3 + 3NaCl
2NaOH + (NH4)2SO4 = Na2SO4 + 2NH3↑ + 2H2O
6NaOH + PCl3 = Na3PO3 +3NaCl + 3H2O
4NaOH + SO2Cl2 = Na2SO4 + 2NaCl + 2H2O.
Лужне середовище істотно впливає на величину стандартного електродного потенціалу і навіть може змінювати напрям окисно-відновної реакції. Наприклад, перманганат калію у кислому середовищі відновлюється до сполук Mn(II), а в лужному – до манганату калію K2MnO4:
2KMnO4 + 5K2SO3 + 3H2SO4 = 2MnSO4 + 6K2SO4 + 3H2O
2KMnO4 + K2SO3 + 2KOH = 2K2MnO4 + K2SO4 + H2O.
У лужному середовищі йод окиснює гідроксиламін:
I2 + 2NH2OH + 2KOH = 2KI + N2↑ + 4H2O,
а в кислому середовищі йодоводень окиснюється гідроксиламіном:
3HI + NH2OH = NH4I + I2 + H2O.
Розплави гідроксиду натрію руйнують більшість стійких природних матеріалів (силікати, алюмосилікати тощо):
SiO2 + 2NaOH = Na2SiO3 + H2O
Be3Al2[Si6O18] + 20NaOH = 3Na2BeO2 + 2NaAlO2 + 6Na2SiO3 + 10H2O.
Характеристики натрію гідроксиду: pH ≈12,0 (0,05% водний розчин); pH ≈13,0 (0,5% водний розчин); pH ≈14,0 (5% водний розчин); Tпл — 318 °C; практично нерозчинний у етері, при 20 °C розчинний у гліцерині, 95% етиловому спирті (1:7,2), метанолі (1:4,2), воді при 20 °С (1:0,9), при 100 °C (1:0,3).
Отримують електролізом розчинів кам’яної солі натрію хлориду (галіту) з одночасним отриманням водню та хлору; на аноді (за рахунок розкладання галіту) виділяється хлор, а на катоді (за рахунок розкладання води) — водень, які виводяться із системи окремо. При цьому прикатодна зона збагачується розчином натрію гідроксиду, який упарюють до отримання 42–50% гідроксиду відповідно до стандарту. Розчин декантують, а готовий продукт передають на склад або на стадію упарювання для отримання твердого продукту з наступним плавленням або грануляцією.
Каустична сода використовується у виробництві алюмінію з бокситів, у нафтодобувній і нафтопереробній промисловості для виробництва хімічних волокон, целюлози і у багатьох інших виробництвах. Випускається у твердому вигляді і містить 96,0-98,5 % NaOH, а також у вигляді рідини з концентрацією 43–46 % NaOH.
Миловаріння
Милами є солі вищих жирних кислот, що містять іони лужних металів – перш за все, стеарат, пальмітат і олеат натрію, тобто натрієві солі стеаринової, пальмітинової і олеїнової кислот. Ці жирні кислоти поширені в природі. Вони є головною складовою частиною багатьох жирів рослинного і тваринного походження. Але в жирах вони містяться не у вільному стані, а у вигляді складних ефірів з трьохатомним спиртом – гліцерином. Взагалі жири – це складні ефіри жирних кислот і гліцерину. Дуже давно люди навчилися розщеплювати жири шляхом кипіння з розчинами лугів. Об’єм сучасного котла для варіння мила – декілька кубічних метрів. Його нагрівають водяною парою, яку частково вводять в реакційну масу, підтримуючи її в стані інтенсивного перемішування, а частково пропускають в змієвик для зовнішнього обігріву котла. Для виготовлення мила в лабораторних умовах замість котла можна використати фарфорову чашку, яку необхідно нагрівати на водяній бані. Сировиною може бути будь-який жир або олія, але в залежності від властивостей вихідних речовин, ми отримаємо мило різної консистенції та різної якості. В миловарній промисловості як сировину використовують не тваринні, а рослинні олії та жири. Залежно від використаного жиру, отримаємо різні мила. Із багатьох жирів і олій утворюються не тверді, а рідкі мила, які нерідко важко відділити відсолюванням. Але із оливкової і касторової олії отримують дуже тверді мила. Тому миловари повинні добре знати властивості жирів, що отримувати з них мила високої якості. Необхідно постійно перевіряти та враховувати якість жирів.
Жири, що дають дуже м’які мила застосовують тільки в суміші з іншими жирами. В даний час для приготування мила широко використовують синтетичні жирні кислоти. Порівняння формул насиченого вуглеводня (алкану) і жирної кислоти показує, що жирна кислота утворюється з алкану в результаті приєднання до нього двох атомів кисню. Тому хіміки намагаються отримати синтетичні жирні кислоти окисляючи алкани киснем повітря за певних умов. В промисловості окисляють алкани, що входять до складу середньої за температурою плавлення фракції парафіну, тобто містять від 12 до 20 атомів Карбону в молекулі. Через розплавлений парафін за температури 1100 °С довго продувають повітря. При цьому каталізатором служить калію перманганат, присутність якого покращує склад продуктів окиснення. Приготування мила в домашніх умовах – це забута найдавніша традиція (мильну фабрику знаходили навіть на місці Помпеї). З кожним тисячоліттям вона все більше удосконалювалася. І домашнє мило має розподіл за структурою: з ефірними оліями, з натуральними скрабами і барвниками. Для приготування домашнього мило найчастіше використовують дитяче мило чи без запаху, у якому немає барвників. А якщо ви використовуєте мильну основу, то варто брати матову (з пальмовою чи кокосовою олією) або прозору (із гліцерином). Варіння мила – це складний процес, що вимагає підготовки і дотримання всіх правил безпечної роботи, тому що в приготуванні використовується агресивна речовина - луг (КОН, NaOH).
Мило в домашніх умовах варто варити тільки з натуральної сировини (тваринних чи рослинних жирів) із додаванням каустичної соди. При варінні жири омилюються і перетворюються в мило. Приготування мила в домашніх умовах починається із подрібнювання на тертці мила чи мильної основи. Подрібнену основу потрібно розплавити (у Свч-пічці чи у водяній лазні). Потрібно запам’ятати, що нагрівають доти, поки основа не розплавиться, при температурі – 650 °C. Після цього можна додавати ароматичні чи ефірні олії. При фарбуванні можна використовувати усе, що вам захочеться (але врахуйте – чим більше барвників, тим більш кольоровою буде піна). Якщо ви хочете зробити мило-скраб, то додайте зерна вівсянки чи кави, а якщо зволожувальне, то масла, пшеницю, манго чи мигдаль. Розливати мило можна в будь-яку формочку,яка вам подобається (щоб легше було виймати засохле мило, формочку спочатку можна змастити вазеліном). Якщо ви все-таки забули змастити формочку, то можна покласти форму в морозильник на 5 хвилин і потім облити киплячою водою. Мило готово до використання тоді, коли воно цілком затвердне.
Для приготування бази, тобто мильної основи, необхідно змішати луг (каустичну соду) і воду в співвідношенні 3:1. Додати рослинні олії (підійде кокосова, рицинова, пальмова) - приблизно 1/10 від початкового об'єму основи. Завершити приготування додаванням гліцерину - його кількість може бути дорівнює обсягу майбутнього мила або складати лише ¼.
Рецепт мила з морською сіллю
Рецепт мила розрахований на 720 г олій, води 30%, натрію гідроксиду 31%, пережир 7%
Приготування:
- Відміряйте воду. У воді розчиніть морську сіль. Потім відміряйте луг, він повинен повністю розчинитися.
- Відміряйте олії, підігрійте їх до стану однорідності. Температура обох фаз повинна бути близько 40-45 ºС.
- Підготуйте пігменти, розмішавши їх з олією. Простежте, щоб не було грудочок. У цьому милі масло для введення пігментів ми беремо з олійної фази.
- Змішайте фази 1 і 2. Лужний розчин акуратно виливаємо в олії. За допомогою блендера доводимо мильну масу до легкого сліду.
- Додайте ароматичну композицію і ретельно перемішайте. Пам'ятайте, що для холодного способу ми використовуємо тільки ефірні олії або спеціальні ароматизатори.
- Розділіть мильну масу 3 або 4 частини. Розлийте мило по ємностях з пігментами.
- Виливайте забарвлену мильну масу шарами, кожен наступний у попередній.
- Прикрашаємо верх.
- Чекаємо застигання не менш як добу, потім можна діставати з форми та нарізати.
Марсельське мило
Термін визрівання мила з нуля холодним способом з великим вмістом оливкової олії - мінімум 8 тижнів. Чим більше, тим краще стає марсельське мило.
Розрахунок рецепту на 700 г олій, 5% пережир.
- Фаза А. Відміряйте усі олії, підігрійте до 50-60 °С.
- Фаза В. Відміряйте необхідну кількість води (краще холодної) і лугу. Луг додайте до води. Розмішайте луг у воді, щоб він повністю розчинився. Дотримуйтесь правил безпеки і не забувайте про засоби захисту!
- Коли температура обох фаз досягне 50 °С, влийте луговий розчин в олії. Збийте за допомогою блендера до формування “сліду”.
- Фаза С. Ароматична композиція становить 2% від маси олій. Відміряйте ефірні олії. Вилийте суміш ефірних олій у мильну масу після досягнення сліду. Додайте трав’яну пудру, розмішайте, викладіть у форму.
- Виймати мило з форми можна лише через добу!
Альтернативні рецепти
Для виготовлення твердого мила беруть 200 г каустичної соди, розчиняють у 800 мл води, доводять розчин до 25 °С і вливають його в розплавлене і охолоджене до 50 °С сало (сало має бути несолоне і беруть 1,28 кг на вказану кількість води і соди). Отриману рідку суміш ретельно розмішують, поки вся маса не стане абсолютно однорідною, після чого розливають у дерев'яні ящечки, добре огорнуті повстю, і ставлять у тепле сухе місце. Після 4-5 днів маса твердне і мило готове.
Якщо хочуть мати більш пінисте мило, то до вказаної кількості води додають ще 40 г очищеного поташу або беруть сала на 200 г менше і додають таку ж кількість кокосової олії.
Для виготовлення рідкого мила розчиняють в 200 г води таку ж кількість неочищеного їдкого калію, доводять розчин до 25 °С і ретельно змішують з 800 г несоленого сала, попередньо розтопленого й охолодженого до 50 °С. Отриману рідку суміш ретельно розмішують, поки вся маса не стане абсолютно однорідною, після чого розливають у посуду.
Ядрове мило високої якості готують шляхом омилення 70 г гов’яжого жиру і 30 г свинного сала розчином NaOH. При нагріванні на водяній бані жир розплавлюється, при енергійному перемішуванні малими порціями додамо до нього нагрітий розчин 25 г NaOH в 30 мл води. (Бути обережними при нагріванні лугу, надіти захисні окуляри!) Отриману суміш при безперервному перемішуванні скляною паличкою нагрівають 30 хв. На киплячій водяній бані, додаючи гарячу воду, по мірі википання. Потім прилиємо 100 мл 20 %-го розчину NaCl і знову нагріємо суміш до повного відділення мила, в розчині солі мило практично не розчиняється. Тому при висолюванні мило відділяється від розчину і спливає. Дамо масі охолодитися, шар мила, що виділився на поверхні збирають. При необхідності мило відтискають між фільтрувальними паперами або за допомогою бинта. Цю операцію проводять обережно, щоб на руки не попадав розчин лугу, краще дослід проводити в гумових рукавичках. Потім промиємо мило малою кількістю холодної води і додамо до ньог невелику кількість пахучих речовин (ефірні олії). Після цього мило обгортають цупкою тканиною і добре розминають. В кінці дещо підігріємо масу і пресуванням надамо їй форми звичайного твердого мила. Водяний шар, який залишається після відсолюавання мила, поряд із сіллю містить гліцерин, що утворюється при омиленні жиру. Розчин цей можна випарити, а отже збагатити його гліцерином. Гліцерин найкраще відділяється від солі перегонкою при зменшенні тиску.
Для отримання туалетного мила сире ядрове мило подрібнюють, а потім змішують з духами, з фарбуючи ми речовинами, дезінфікуючими добавками, наповнювачами.
Застосування у побуті
Прочистка труб сухий метод
Підготувати близько 3 л підігрітої до 30-40 °С води і залити її в труби для попередньої прочищення і прогріву.
Використовуючи гумові рукавички, обережно засипати 6 столових ложок (250 г) гранульованої каустичної соди прямо в трубу, намагаючись не потрапити на стінки сантехніки. Залити все склянкою води, почекати 3 години, після чого відкрити кран на 15 хвилин і промити великою кількістю води.
Прочистка раковини
Розчинити 100г каустичної соди ТМ “Клебріг” у 500мл води. Зачекати кілька хвилин доки розчин охолоне та залити прямо в трубу. Не використовуйте кран протягом години, після чого промийте трубу проточною водою.
https://www.tiktok.com/@klebrig_tm/video/7263093178683739398?is_from_webapp=1&sender_device=pc
Очищення вигрібної ями, септика:
- пластикове відро (10 або 12 л)
- пластмасовий совок, мензурка
- захисні засоби – рукавички, маска
Попередньо слід провести викачування септика, так розчину буде простіше дістатися до зливів, потім:
1. У відро об'ємом 10 л налити 7-8 л холодної води.
2. Обережно розчинити каустичну соду з розрахунку 1 кг на 1 куб, але не більше 5 кг, обережно перемішуючи довгою паличкою. Треба бути особливо обережним, адже розчин нагрівається.
3. Залити розчин у яму і не користуватися каналізацією 2-3 години.
Приготування розчину натрій гідроксиду з наважки та визначення його концентрації за оксалатною (щавлевою) кислотою
Приготування розчину натрій гідроксиду
Приготувати титрований розчин натрій гідроксиду розчиненням точної наважки NaOH неможливо, оскільки NaOH не відповідає вимогам вихідної речовини.
Їдкий натр являє собою кристалічну речовину білого кольору, яка поглинає вологу (тому на повітрі розпливається) і легко реагує з CO2 повітря з утворенням
Na2CO3. Тобто, склад натрій гідроксиду невідомий, так як він забруднений деякою кількістю натрій карбонату і води.
Для приготування титрованого розчину натрій гідроксиду спочатку готують розчин приблизної концентрації, а точну концентрацію визначають за вихідною речовиною або за титрованим розчином кислоти. Звичайно готують приблизно 0,1 М розчин натрій гідроксиду. Наважку NaOH, необхідну для приготування розчину, розраховують за формулою:
![]()
Якщо необхідно приготувати 500 мл 0,1 М розчину NaOH, то:
![]()
Розчин NaOH потрібної концентрації можна отримати і шляхом розведення більш концентрованого розчину лугу. В цьому випадку спочатку вимірюють густину концентрованого розчину лугу, за таблицею (довідник) знаходять молярну концентрацію розчину лугу і розраховують об'єм за формулою:
![]()
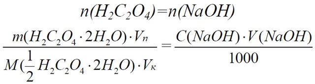
Визначення концентрації розчину натрій гідроксиду за оксалатною кислотою
Оксалатна кислота задовольняє вимогам вихідних речовин і реагує з NaOH за рівнянням:
Н2С2О4 + 2 NaOH → Na2C2O4 + 2H2O
Оксалатна кислота є слабкою кислотою (К1=6,5∙10-2, К2= 6,1∙10-5). Вона титрується як двоосновна кислота, але на кривій титрування помітний лише один стрибок рН, так як К1⁄К2<104. Визначення концентрації розчину натрій гідроксиду за оксалатною кислотою здійснюють методом піпетування. Наважку кислоти розраховують з огляду на рівність кількості моль-еквівалентів Н2С2О4·2Н2О та NaOH.

Молярна маса еквівалента оксалатної кислоти дорівнює половині молярної маси, тобто 126,07⁄2=63,04 г⁄моль.
Якщо Vк(об'єм колби)=250 мл, а Vп(об'єм піпетки)=25 мл і титрують із бюретки 25,0 мл, то
![]()
При титруванні оксалатної кислоти розчином натрій гідроксиду у точці еквівалентності розчин містить натрій оксалат, який гідролізує за першим ступенем, що обумовлює відповідну кислотність розчину:
С2O42- + H2O → HC2O4- + OH-
Гідроліз за другим ступенем незначний, тому
![]()
Таким чином, для фіксації точки еквівалентності при титруванні оксалатної кислоти розчином натрій гідроксиду слід використовувати фенолфталеїн (рТ=9) як індикатор.
Хід аналізу
Наважку оксалатної кислоти (Н2С2О4·2Н2О) 1,2608 г зважують на аналітичних терезах, переносять у мірну колбу і розчиняють у дистильованій воді. Після повного розчинення наважки розчин доводять водою до позначки, ретельно перемішують. Відбирають піпеткою на 20 (25) мл аліквотну частку (Vп) розчину, переносять її у колбу для титрування, розводять водою приблизно до 50 мл, додають 7-8 крапель фенолфталеїну і титрують розчином NaOH, концентрацію якого визначають, до появи рожевого забарвлення, яке не зникає протягом 20-30с. Титрування повторюють 3-4 рази. Концентрацію NaOH розраховують за формулою:

Побудова кривої титрування
Крива кислотно-оснoвного титрування — це графічне зображення зміни рН розчину в ході титрування.
Титрування: 0,1 моль/дм3 розчину кислоти хлористоводневої 0,1 моль/дм3 розчином натрій гідроксиду.


Крива титрування:

Визначення натрію гідроксиду та натрію карбонату у суміші
Визначення вмісту NaOH і Na2CO3 у суміші необхідне, наприклад, при контролі чистоти їдкого лугу. Як відомо, тверді луги поглинають із повітря вологу і CO2, перетворюючись у карбонат, внаслідок чого розчин натрій гідроксиду завжди містить домішки Na2CO3. У деяких випадках потрібно знати вміст NaOH і Na2CO3 у розчині. Для вирішення цієї задачі можна використати два способи. Один із них базується на фіксації двох точок еквівалентності, а другий на осадженні CO32- іонів іонами барію і відокремлення осаду від розчину.
Метод фіксації двох точок еквівалентності
Визначення натрій гідроксиду і натрій карбонату частіше проводять методом фіксації двох точок еквівалентності. Реакція між Na2CO3 і НСl перебігає у дві стадії. На кривій титрування фіксуються два стрибки.
При титруванні Na2CO3 і NaOH розчином НСl спочатку нейтралізуються весь NaOH і половина Na2CO3.
NaOH + НСl → NaCl + H2O,
Na2CO3 + НСl → NaHCO3 + NaCl.
Перша точка еквівалентності характеризується присутністю у розчині кислої солі (NaHCO3).
Першу точку еквівалентності фіксують за допомогою індикатора фенолфталеїну, який змінює своє забарвлення в інтервалі рН 8-10 з малинового у безбарвне. Подальше титрування відповідає реакції нейтралізації натрію гідрокарбонату:
NaHCO3 + НСl → NaCl + СО2 + H2O.
У другій точці еквівалентності розчин містить окрім натрій хлориду слабку карбонатну кислоту.
Фіксують другу точку еквівалентності за допомогою індикатора метилового оранжевого (рТ=3,8).
Розглянутий спосіб має порівняно невелику точність. Це зумовлено тим, що відношення констант іонізації К1 : К2 карбонатної кислоти менше 104, внаслідок чого стрибок рН, який відповідає утворенню NaHCO3, недостатньо великий. Окрім цього, однією з причин, що знижують точність визначення, є поглинання CO2 з повітря, внаслідок чого NaOH частково перетворюється в Na2CO3 у процесі аналізу.
Тому при аналізі необхідно: швидко відбирати розчин, відразу ж титрувати відібраний розчин, поблизу точки еквівалентності слід добавляти кислоту повільно, краплями, щоб запобігти утворенню замість NaHCO3, вільної H2CO3.
Хід аналізу
До розчину, що містить суміш NaOH і Na2CO3, додають води до об’єму приблизно 50 –60 мл, 6-7 крапель індикатору фенолфталеїну і титрують розчином НСl відомої концентрації до зникнення рожевого забарвлення. Записують об’єм розчину НСl (V1). Потім додають до розчину суміші 2 краплі метилоранжу і продовжують титрування до зміни забарвлення від жовтого до оранжевого. Записують другий загальний об’єм (V2).
Застосування гідроксиду натрію у технічному аналізі у виробництві продуктів органічного синтезу
Визначення вмісту естерів
Хід визначення
До 100 мл спирту, нейтралізованого 0,1 м.к.е. розчином натрію гідроксиду в присутності фенолфталеїну, додають 10 мл 0,1 м.к.е. розчину натрію гідроксиду і кип’ятять в колбі із зворотним холодильником протягом 1 години. Вміст естерів Х, мг/л, в перерахунку на етилацетат обчислюють за формулою Х = [(10∙К-V1∙K1)∙1000∙100∙8,81]:100∙С, де К – поправочний коефіцієнт для 0,1 м.к.е. розчину натрію гідроксиду; V1 – об’єм 0,1 м.к.е. розчину сульфатної кислоти, витраченого на титрування надлишку лугу, мл; К1 – поправочний коефіцієнт для 0,1 м.к.е. розчину сульфатної кислоти; 8,81 – маса етилацетату, що відповідає 1 мл точно 0,1 м.к.е. розчину натрію гідроксиду, мг; С – концентрація спирту, % об.
Визначення кислотного числа
Кислотне число – це кількість міліграмів калію гідроксиду, яке витрачається на нейтралізацію вільних кислот, що знаходяться в 1 г органічної речовини.
Хід визначення
25 мл досліджуваного зразка спирту переносять в конічну колбу місткістю 200 мл, додають 25 мл води, попередньо нейтралізованої 0,1 м.к.е. розчином натрію гідроксиду в присутності фенолфталеїну. Вміст перемішують і титрують 0,1 м.к.е. розчином калію гідроксиду в присутності фенолфталеїну.
Кислотне число (К.ч.), мг КОН/г, обчислюють за формулою К.ч. = (V∙K∙5,61)/(25∙ρ), де V – об’єм 0,1 м.к.е. розчину калію гідроксиду, мл; К – поправочний коефіцієнт для 0,1 м.к.е. розчину калію гідроксиду; 5,61 – кількість калію гідроксиду, що відповідає 1 мл точно 0,1 м.к.е. розчину калію гідроксиду, мг; ρ – густина метанолу, г/см3.
Натрій гідроксид в органічному синтезі
Бензиловий спирт

Реагенти:
бензальдегід – 19 мл
формалін – 40 мл
натрію гідроксиду 40 % водний розчин – 40 мл
натрію гідросульфіт
натрію сульфат (безводний)
Обладнання:
колба круглодонна двогорла з/ш 250 мл
воронка крапельна
холодильник зворотний із водяним охолодженням
мішалка магнітна
воронка ділильна
прилад для перегонки
У перехресній реакції Канніццаро за участі формальдегіду останній відіграє роль відновника, окиснюючись, відповідно, до форміатної кислоти. Це перетворення застосовують для відновлення ароматичних альдегідів до спиртів.
До суміші 19 мл бензальдегіду, 50 мл води та 40 мл формаліну у двогорлій колбі зі зворотним холодильником доливаємо за допомогою крапельної воронки при активному перемішуванні 40 мл 40 % розчину гідроксиду натрію. При цьому спостерігається значне розігрівання реакційної суміші (температура підвищується до 70 °С). Перемішування продовжуємо ще 30 хвилин, після чого реакційну суміш залишаємо на 10 год (можна залишити на ніч).
Поступово рідина розділяється на два шари. Верхній шар (бензиловий спирт) відділяємо за допомогою ділильної воронки. Відділений бензиловий спирт промиваємо у воронці перший раз – 20 мл насиченого розчину гідросульфіту натрію (для видалення залишку бензальдегіду, що не прореагував) і другий раз – 20 мл води. Промитий продукт із метою осушення витримуємо над безводним сульфатом натрію або сульфатом магнію, після чого переганяємо при атмосферному тиску, збираючи фракцію, яка кипить у межах 202-207 °С.
Отримуємо 13 г (64 %) продукту у вигляді безбарвної рідини з різким запахом. Чистий бензиловий спирт має температуру кипіння 205,5 °С, d=1,043, n=1,5396.
Трийодометан (йодоформ)

Реагенти:
- ацетон – 5 мл
- йод – 2 г
- калію йодид – 4 г
- натрію гідроксиду 10 % водний розчин – 5 мл
Обладнання:
- склянка 50 мл
- ступка з товкачем
- воронка крапельна 25 мл
- мішалка магнітна
- колба Бунзена
- воронка Бюхнера або фільтр Шота
Унаслідок дії молекулярного йоду на ацетон утворюється продукт вичерпного йодування однієї з метильних груп, який у лужному середовищі зазнає нуклеофільної атаки гідрооксид-аніону та відщеплює аніон CI3 як відхідну групу.
Розчиняємо у стакані 4 г йодиду калію у 10 мл дистильованої води, додаємо 2 г дрібно розтертого йоду. До одержаного розчину доливаємо спочатку 15 мл води, а потім – 5 мл ацетону. Після цього при постійному перемішуванні додаємо краплинами 10 %-ий розчин гідроксиду натрію до зникнення червонуватого забарвлення розчину (знадобиться близько 4,5 мл; потрібно уникати великого надлишку лугу, оскільки йодоформ швидко гідролізується під дією світла у сильнолужному розчині).
Йодоформ, що випадає у вигляді жовтого осаду, відфільтровуємо, промиваємо водою та висушуємо на повітрі.
Отримуємо 0,93 г (90 %) продукту.
Метиловий оранжевий (4-[4-диметиламінофеніл)азо]бензенсульфокислоти натрієва сіль, метилоранж, геліантин)

Реагенти:
- кислота сульфанілова – 1 г
- N,N-диметиланілін – 1,05 мл
- натрію нітрит – 0,4 г
- кислота соляна 1 N
- кислота соляна 2 N
- натрію гідроксид 2 N
Обладнання:
- склянка 100 мл
- склянка 50 мл
- баня льодяна
- колба Бунзена
- воронка Бюхнера або фільтр Шота
Необхідну для синтезу цієї азосполуки діазоскладову отримують у спосіб зворотного азотування (тобто, додають до суміші первинного ароматичного аміну та нітриту натрію у лужному водному розчині соляну кислоту; на противагу прямому діазотуванню, під час якого додають розчин нітриту натрію до розчину первинного ароматично аміну в кислоті), оскільки сульфанілова кислота погано розчинна у кислому середовищі.
Під час процесів діазотування та азосполучення варто чітко дотримуватися вказаного у методиці температурного режиму.
Розчин № 1 (азоскладова)
У склянці місткістю 100 мл розчиняємо 1 г (1,05 мл) диметиланіліну у 10 мл 1 N соляної кислоти й охолоджуємо отриманий розчин до 0-5 °С.
Розчин № 2 (діазоскладова)
В іншій склянці місткістю 50 мл розчиняємо 1 г сульфанілової кислоти у 2,5 мл 2 N розчину гідрооксиду натрію, додаємо 0,4 г нітриту натрію, розчиненого у 5 мл води. Отриману суміш охолоджуємо у льодяній бані до 0-5 °С, після чого, помішуючи, доливаємо 2,5 мл 2 N розчину соляної кислоти.
До розчину № 1 доливаємо розчин № 2 (розчин набуває яскраво-червоного кольору), доливаємо 2 N розчин гідроксиду натрію до лужної реакції (утворюється осад інтенсивного жовтого кольору) і залишаємо за кімнатної температури на 1,5-2 години.
Осад відфільтровуємо, перекристалізовуємо з невеликої кількості води.
Отримуємо 1,8 г (більше 90 %) продукту у вигляді помаранчево-жовтих листочків. Метилоранж, як кислотно-основний індикатор, у лужному середовищі має жовте забарвлення, у нейтральному – помаранчеве, у кислому – червоне.
1,5-Дифенілпента-1,4-дієн-3-он (дибензиліденацетон)

Реагенти:
- ацетон – 2,8 мл
- бензальдегід – 7,5 мл
- натрію гідроксид – 7,2 г
- спирт етиловий – 60 мл
- етилацетат
Обладнання:
- стакан 250 мл
- колба конічна 50 мл
- баня водяна
- термометр
- мішалка магнітна
- колба Бунзена
- воронка Бюхнера або фільтр Шотта
Обидві метильні групи ацетону активно взаємодіють із альдегідами, даючи продукти кротонової конденсації. Тому, залежно від співвідношення реагентів і порядку змішування, можна добути як бензиліденацетон, так і дибензиліденацетон.
Готуємо у конічній колбі суміш 7,5 мл бензальдегіду та 2,8 мл ацетону. Окремо у стакані розчиняємо 7,5 г гідроксиду натрію в суміші 75 мл води та 60 мл етилового спирту, охолоджуємо до кімнатної температури та вміщуємо у водяну баню. При температурі 20-25 °С і постійному перемішуванні додаємо додаємо до розчину половину приготованої суміші бензальдегіду та ацетону. Через 2-3 хв починається помутніння суміші, утворюється аморфний осад. Розігрів реакційної суміші вище 30 °С небажаний, оскільки спричиняє ряд побічних процесів і призводить до зниження виходу продукту. Через 15 хвилин доливаємо решту суміші бензальдегіду та ацетону, після чого перемішування продовжуємо ще 30 хвилин. осад відфільтровуємо, промиваємо водою і сушимо на повітрі.
Отримуємо 7-8 г (80-90 %) продукту, що після перекристалізації з етилацетату має вигляд світло-жовтих пластинок із Т плавлення 112 °С.
Натрію гідроксид у синтезі неорганічних сполук
Сульфітний метод отримання натрію тіосульфату
Проводять відповідно до рівняння: Na2SO3 + S = Na2S2O3. Сульфітний спосіб отримання натрій тіосульфату полягає в розчиненні мілко подрібненої сірки в гарячому розчині натрій сульфіту Na2SO3. Ця реакція протікає з малою швидкістю, особливо спочатку, коли йде повільне змочування сірки; для прискорення цього процесу рекомендують додавати в розчин катіонно-активні речовини - броміди аміл-, октіл-, децил-, додецил-, тетрадецил-, бензил- і цетилпіридиній та інші, або попереднє подрібнювати сірку в суміші з маточним розчином тіосульфату. Кип'ятіння розчину сульфіту з сіркою виготовляють в чавунному реакторі з мішалкою і паровою сорочкою. У реактор завантажують воду, безводний сульфіт Na2SO3, 40-41% розчин натрію гідроксиду NaOH (4 л на 100 л води) для запобігання розкладання сульфіту та сірки. Кип'ятіння ведуть 3-5 годин при 90-100 °С. До кінця варіння густина розчину досягає 1,57 г / см3 і вміст сульфіту в ньому знижується до 1,5%.
Отриманий розчин має лужну реакцію і усереднюється розчином натрій бісульфіту, до якого попередньо додають кальциновану соду (3 кг на 30л розчину бісульфату). Врівноваження триває 1 год. при 60-80 °С. Його виробляють для надлишкового лугу і утворених в процесі ї кип'ятіння натрію сульфіду та натрію дисульфіду в сульфіті та тіосульфаті: NaOH + NaHSO3 = Na2SO3 + H2O 2Na2S + 6NaHSO3 = 3Na2S2O3 + 2Na2SO3 + 3H2O Na2S2 + 6NaHSO3 = 5Na2S2O3 + 3H2O Присутність деякої кількості Na2SO3 в розчині необхідно як стабілізатора для створення певного значення рН, а також для перехіду політіонатів в стійкий тритіонат і тіосульфат: S5O62- + 2SO32- = S3O62- + 2S2O32- S4O62- + SO32- = S3O62- + S2O32-. Усереднений розчин відфільтровують від домішок і направляют на кристалізацію.
Досліджений вплив гідроксиду натрію на швидкість і характер корозії чорних металів у мінералізованій оборотній воді. Показано, що гідроксид натрію є ефективним інгібітором корозії вуглецевої сталі Ст3 і сірого чавуну СЧ 18–36. За результатами гравіметричних та поляризаційних досліджень визначений характер руйнування, розрахований ваговий показник швидкості корозії і електрохімічні параметри зазначених матеріалів у оборотній воді.
- Хімія для роботи з чорними та кольоровими металамиРекомендації щодо проведення хімічної підготовки металів для подальшої роботи з нимиХімія для роботи з чорними та кольоровими металами
- Лимонна кислота: застосування у харчовій промисловості, побуті та інших сферахЛимонна кислота – універсальний інгредієнт, який широко використовується в харчовій промисловості, косметології, медицині та побуті. Дізнайтеся, як вона допомагає зберігати продукти, очищати поверхні та покращувати якість випічки. У цій статті ми розглянемо її основні властивості та ефективне застосування.Лимонна кислота: застосування у харчовій промисловості, побуті та інших сферах




